時間:2014-04-24 08:04:01 作者:第一紙白銀分析網 閱讀:次
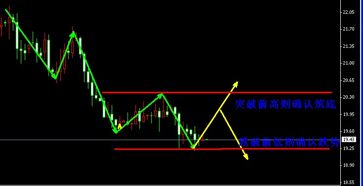
目前紙白銀價格是3.881元/克。昨日紙白銀維持窄幅震蕩,波幅僅3分。今日繼續在區間3.83-3.95之間高拋低吸,下方3.84-3.85做多,止損3.83外;上方3.92-3.93附近做空,止損3.95外。由于波幅較小,建議投資者此區間內以布局多單為主,上方遇到阻力嘗試減倉。近日價格仍將圍繞3.83展開多空博弈,遵從規則:站在3.83上方切勿急于追空,以輕倉試盤多單為主;跌破3.83,切勿急于抄底,以反彈做空為主。目前市場交投清淡主要源于,空頭力量衰竭,但多頭未能復蘇聚集,在低位造成了市場觀望的局面。穩健的投資者也可隨市場一起觀望,等待價格突破大區間3.83-4.05打開空間后再操作。如下圖所示,目前紙白銀在區間3.83-4.05之間震蕩,后市價格若突破前高4.05則將扭轉跌勢(圖中綠色下跌趨勢);反之若價格跌破前低3.83,則將延續跌勢。當價格在圖中紅色線框內波動時,行情屬于弱勢震蕩,由于方向未能選擇,此時投資者可選擇高拋低吸,輕倉操作,嚴格止損。建議僅供參考,不作為下單依據。![]() 基本面方面:近期由于歐美經濟數據清淡,烏克蘭局勢成為主導市場行情的主要因素,烏克蘭方面的最新消息顯示局勢再度有惡化的可能性,使得投資者此前似曾相識的糾結情緒再度回歸。在更多不確定性猶存的背景下,投資者仍不愿對金銀市場過多追漲殺跌,而是選擇觀望。相信后續若事件產生持續發酵,行情將會受此波動。 今日整體策略:本周行情表現清淡,相信最終無法選擇方向。日內投資者首先關注區間3.83-3.95之間,此區間屬于弱勢震蕩,除非行情上破3.95,否則走勢及波動幅度不會太大,建議穩健者可選擇觀望,而激進者在區間內輕倉布局多單為主,嚴格止損3.83下方。后市價格若再次跌破3.83,則將充分說明市場多頭潰敗,不具備集中反彈力量,市場做多情緒疲軟,屆時可放棄做多,選擇反手做空為主。 當前趨勢:短線弱勢震蕩,中線趨勢看漲(周線看漲形態未破壞) 今日支撐阻力:阻力:3.92-3.93,3.97,4.02附近支撐:3.84-3.85,3.78-3.79附近。 紙白銀中長線分析: 中長線投資者今日繼續保持觀望,激進者可利用機動倉位在區間3.83-3.95之間高拋低吸拉低均價,具體建議參考短線策略。(第一紙白銀認為方向選擇對,再高的點位,也是相對較 低 的點位;方向選擇錯,再低的點位,也是相對較高的點位)。 紙白銀短線分析:(高拋低吸,多看少動) 1.激進者今日價格回踩3.84-3.85輕倉試盤多單,止損3.83下方,目標看3.91-3.93離場。 2.激進者價格反彈3.91-3.93附近減倉多單或輕倉做空,止損3.95上方,目標3.84-3.85,破位看3.78-3.79。 3.價格回踩3.78-3.79附近輕倉短線做多,中線多單觀望,止損3分,目標看3.86,破位看3.91-3.93。 4.價格突破周二高點3.95后穩健者可選擇回落3.87做多,激進者選擇3.87-3.9內做多,目標看4.02。 5.其余點位建議觀望為主。 策略思路:今日策略與昨日大同小異,后市價格若不能突破小區間3.83-3.95,行情將持續弱勢,投資者宜輕倉操作或觀望為主。 總 結:由于下周美聯儲利率決議與非農將雙雙登場,當前市場消息面又過于清淡,且多空處在分水嶺附近博弈,投資者更愿意選擇方向明朗后再順勢進場,造成當前市場窄幅波動的局面。這也充分說明,一旦市場開始波動,突破區間后行情將順勢行走的概率較大,故建議投資者在區間3.83-4.05之間選擇輕倉高拋低吸,嚴格止損。后市價格一旦突破該區間,多空雙方勢必分出勝負,屆時可選擇順勢操作。本周穩健者亦可繼續保持觀望。 第一紙白銀預計今日多:空:震蕩概率為3:3:4。 技術僅僅是基于概率論和統計學的一種綜合分析手段,絕非預測。所以技術分析是在考慮做好止損的情況下去博取大概率事件,投資不可過于迷信技術分析。(短線操作請一定做好止損,一旦被損,代表分析師基于概率和統計的技術分析不適用于當前行情)
1、紙白銀短線看點位,中線做方向。
2、以上所有價格為工商銀行買入價,即紙白銀低價。進倉點位要再加0.04,出倉則不要。 3、第一紙白銀給出的所有建議僅供投資者參考,不作為下單絕對依據,切勿過于依賴。 4、北京時間08:40發布此文章。 5、上一交易日白銀價格分析情況:4月23日第一紙白銀價格走勢分析
對紙白銀感興趣的朋友可以常來“第一紙白銀分析網”逛逛,我們每天會分析最新的紙白銀價格走勢。 |